Hi! i’ve been training a model to predict a continuous value based on input videos.
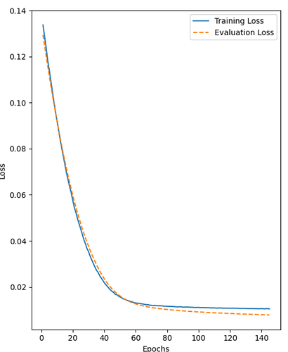
My train and eval losses seem to converge at a good value of 0.02, which is ~98% accurate for my dataset and value range.
But when I predict the values and plot it against ground truth, I get that predictions are heavily biased and clipped.
I’m literally stuck at this point. I’ve ensured my eval dataset is properly stratified and there are no outliers. I would appreciate any advice or point of view on my case.

